多相催化剂在工业生产中具有广泛的应用,主要是因为它们可以回收再利用,节约成本。但是多相催化剂仍然还存在不足,它们的催化选择性远不如均相反应中的金属有机催化剂和生物酶催化。
均相反应中的金属有机催化剂和生物酶在催化反应中之所以有很高的催化选择性主要是因为这些催化剂的催化中心被包覆在一些有机框架之中。这些有机框架与反应底物之间的非共价作用使得反应底物以特定取向与活性中心作用,所以选择性特别高。利用这种非共价作用,人们通过对多相催化剂中的活性组分进行表面改性,成功的提高了催化剂的选择性。

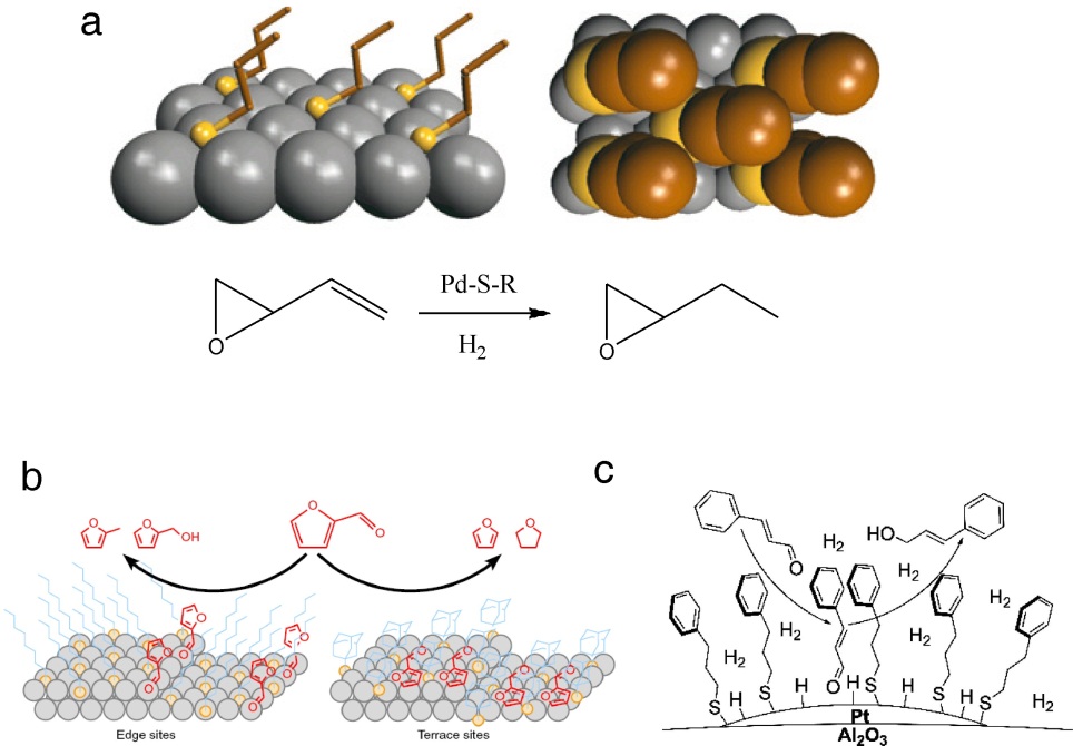
图1. 金属-配体界面效应调控纳米催化性能
C. A. Schoenbaum; D. K. Schwartz; J. W. Medlin. Controllingthe Surface Environment of Heterogeneous Catalysts Using Self-AssembledMonolayers. Acc. Chem. Res., 2014, 47: 1438-1445.
通过对不同的金属催化剂的表面进行有机分子组装,可以提高催化剂的在反应中的选择性。
Medlin课题组通过在Pd催化剂表面自组装单分子层硫醇分子,可以使Pd催化剂在选择性氢化3,4-环氧-1-丁烯制备1,2-环氧丁烷时,在保持同等的转化率的前提下将1,2-环氧丁烷的选择性从11%提高94%。

图2. 硫醇提高3,4-环氧-1-丁烯选择性氢化制1,2-环氧丁烷
S. T. Marshall; M. O’brien;B. Oetter; A. Corpuz; R. M. Richards; D. K. Schwartz; J. W. Medlin. Controlledselectivity for palladium catalysts using self-assembled monolayers. Nat. Mater., 2010, 9: 853-858.
同样地,Medlin课题组在Pd纳米颗粒催化剂表面组装分子层硫醇分子,还可以提高Pd催化剂在糠醛氢化中呋喃醇和甲基呋喃的选择性以及肉桂醛氢化中肉桂醇的选择性。

图3. 表面配体提高糠醛氢化选择性
S. H.Pang; C. A. Schoenbaum; D. K. Schwartz; J. W. Medlin. Directing reactionpathways by catalyst active-site selection using self-assembled monolayers. Nat. Commun., 2013, 4: 2448-2454.

图4. 表面配体提高肉桂醛氢化选择性
K. R.Kahsar; D. K. Schwartz; J. W. Medlin. Control of Metal Catalyst Selectivitythrough Specific Noncovalent Molecular Interactions. J. Am. Chem. Soc., 2013, 136:520-526.
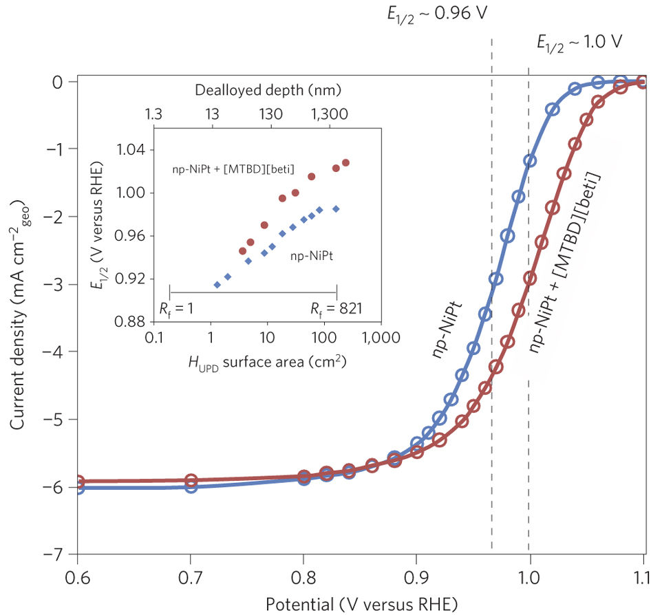
除此之外,一些新型的金属-配体界面得到新的认识和应用并逐渐发展起来。如基于离子液体的金属-有机界面在催化ORR反应中得到应用。
通过形成离子液体与金属催化剂的界面,电催化反应中的反应电极可以选择性的吸附溶液中的氧气分子进行ORR反应,同时又能阻止溶液中的醇类分子进入电极表面,防止电极的毒化,提高电催化反应的效率和催化剂的使用寿命。

图5. 离子液体-金属界面纳米催化剂的ORR性能
J. Snyder; T. Fujita; M. W.Chen; J. Erlebacher. Oxygen reduction in nanoporous metal–ionic liquidcomposite electrocatalysts. Nat. Mater.,2010, 9: 904-907.
一些常见的小分子如CO,CN-1等通常被认为会吸附在催化剂并将其毒化,但是近来的研究发现吸附了CO或CN-1的催化剂不但没有被毒化,催化活性反而得到增强。

图6. CO-Au界面增强纳米金催化甲醇氧化
P. Rodriguez; Y. Kwon; M. T.M. Koper. The promoting effect of adsorbed carbon monoxide on the oxidation ofalcohols on a gold catalyst. Nat. Chem.,2011, 4: 177-182.
Markovic课题组的研究发现,吸附了CN-1离子的Pt{111}面在ORR反应中的反应活性得到了明显的增强。研究表明,这是因为CN-1/Pt{111}界面的存在在不影响O2吸附效率的前提下可以阻止硫酸根或磷酸根在Pt表面的吸附,保证Pt不被毒化。

图7. CN-Pt界面防止Pt被毒化
D. Strmcnik, N. M. Markovic et al. Enhanced electrocatalysisof the oxygen reduction reaction based on patterning of platinum surfaces withcyanide. Nat. Chem., 2010, 2: 880-885.
郑南峰课题组提出了一种利用有机配体调控贵金属纳米催化剂界面电子结构的策略。他们通过乙二胺的螯合配位制备出了表面有乙二胺螯合的超细Pt纳米线,对硝基芳烃超乎寻常的选择性氢化作用。

图8. 有机配体修饰的超细Pt纳米线
Guangxu Chen, ChaofaXu, Gang Fu, Nanfeng Zheng. Interfacial Electronic Effects Control the ReactionSelectivity of Platinum Catalysts. Nature Mater. 2016, 16,
研究发现,Pt纳米线在催化硝基苯氢化中可以选择性的生成羟基苯胺。结合亚埃级球差校正HRTEM、XAFS以及TPD-MS等解析出Pt纳米线的精细结构。傅钢课题组通过DFT计算出乙二胺上N上的孤对电子给Pt,使表面Pt原子带负电荷,负电荷定域在Pt-N键周围的表面原子上,而内层Pt仍是电中性,大量的乙二胺在Pt表面吸附使得羟基苯胺很难在Pt表面吸附,所以反应能够高选择性的得到羟基苯胺,而不会继续氢化生成苯胺。

图9. Pt-乙二胺界面效应机理
综上,控制和设计适当的金属-配体间界面不仅可以提高催化剂在反应中的催化选择性,而且还可以增强催化活性。这些研究成果对于实际工业体系中的催化剂改性应用,应该是最具有可见的经济价值了!








